Venturimeter atau flow meter venturi adalah jenis flowmeter yang bekerja berdasarkan prinsip Persamaan Bernoulli. Perangkat ini banyak digunakan di industri pengolahan air/WTP, kimia, farmasi, dan pengolahan minyak & gas untuk mengukur laju aliran fluida di dalam pipa. Luas penampungan di pipa dikurangi untuk menciptakan perbedaan tekanan yang diukur dengan manometer untuk menentukan laju aliran. Jadi, venturi meter adalah flowmeter tipe Head diferensial yang mengubah energi tekanan menjadi energi kinetik.
Prinsip Venturimeter dikemukakan oleh Giovanni Batista Venturi (Oleh karena itu perangkat ini dinamakan Venturimeter), Tapi pertama kali digunakan dalam aplikasi pengukuran praktis oleh Clemens Herschel. Pada artikel ini, kita akan mengeksplorasi bagian-bagian, prinsip kerja, perhitungan, dan aplikasi Venturimeter.
Apa Itu Venturimeter?
Venturimeter digunakan untuk mengukur laju aliran cairan melalui pipa, flow meter ini mengaplikasikan dari persamaan Bernoulli. Teori Venturi meter bekerja pada perhitungan Bernoulli dengan metode kecepatan meningkat seiring dengan penurunan tekanan. Teori Venturi meter dibuat oleh Venturi pada tahun 1797, tetapi pertama kali diperkenalkan pada tahun 1887 c, dipertimbangkan dengan bantuan Herschel. Teori ini menyatakan bahwa ketika luas penampung aliran berkurang, perbedaan tekanan antara berbagai daerah aliran dibuat, dan ini membantu untuk mengukur perbedaan di bawah tekanan, perbedaan tekanan ini membantu mengukur aliran masuk cairan.
Bagian Utama Venturimeter
Flow meter ini terdiri dari 3 bagian utama, yakni:
- Bagian Kovergen (Penyatu)
- Bagian Throat (Tenggorokan)
- Bagian Divergen (Pemisah)
Bagian Konvergen (Penyatu): Cairan memasuki bagian ini dan karena bentuk bagiannya, cairan mulai menyatu. Menurut persamaan kontinuitas, jika luas penampang berkurang maka kecepatan cairan meningkat. Menurut persamaan Bernoulli, jika kecepatan cairan meningkat maka tekanan harus berkurang.
Bagian Tenggorokan: Cairan kemudian memasuki bagian dengan diameter konstan. Bagian ini disebut tenggorokan. Karena diameternya konstan, kecepatan aliran cairan tidak berubah dan juga tekanan di tenggorokan tidak berubah. Oleh karena itu, Tenggorokan adalah tempat yang tepat untuk melakukan pengukuran tekanan. Pengukuran tekanan pada posisi upstream diterapkan sebelum cairan mencapai bagian konvergen. Perbedaan tekanan antara kedua posisi ini diukur dengan menggunakan manometer atau pengukur tekanan.
Bagian Divergen (Pemisah): Setelah cairan melewati tenggorokan, Cairan melewati bagian divergen. Fungsi dari bagian divergen ini adalah untuk memulihkan tekanan yang diturunkan untuk mengukur laju aliran. Sudut bagian divergen lebih pendek dari bagian konvergen, hal ini membuat panjang bagian divergen relatif lebih panjang dari bagian konvergen. Hal ini dilakukan dengan sengaja agar cairan tidak terpisah saat ada di perbatasan, pemisahan aliran akan menyebabkan kehilangan tekanan.
Bentuk Venturimeter
Seperti yang dituliskan di atas, Ventimeter memiliki tiga bagian utama, meliputi bagian konvergen, bagian tenggorokan dan bagian divergen. Ketiga bagian ini disusun secara sistematis.
Bagian pertama adalah bagian konvergen atau bagian inlet. Ini adalah wilayah di mana penyilang muncul menjadi bentuk kerucut untuk konektivitas dengan wilayah tenggorokan. Pada bagian ini luas penyilang berkurang dari awal hingga akhir pipa. Bagian ini terhubung ke pipa saluran masuk di satu ujung dan tenggorokan silinder di ujung lainnya. Sudut konvergensi umumnya sekitar 20-22 derajat.
Bagian kedua adalah tenggorokan silinder. Ini adalah bagian tengah venturimeter. Ini adalah pipa silinder di venturimeter yang dilalui oleh cairan setelah disatukan di bagian konvergen. Bagian Tenggorokan umumnya memiliki diameter setengah pipa. Besar diameter tenggorokan tetap sama sepanjang bagiannya.
Bagian terakhir adalah bagian divergen. Ini adalah akhir dari venturimeter. Satu sisi dipasang ke tenggorokan venturimeter dan di sisi lain dipasang ke pipa. Bagian divergen memiliki sudut bagian mulai dari 5 derajat sampai 15 derajat. Sudut divergen lebih kecil dari sudut konvergen karena panjang kerucut divergen lebih besar dari kerucut konvergen. Alasan utama sudut divergen kecil adalah untuk menghindari pemisahan aliran dari dinding.
Cara Kerja Venturimeter
Venturimeter bekerja berdasarkan prinsip persamaan Bernoulli, yaitu tekanan berkurang dengan meningkatnya kecepatan. Bagian Persilangan tenggorokan kurang dari bagian persilangan pipa saluran masuk. Sebagai bagian persilangan dari pipa aliran masuk ke tenggorokan berkurang, kecepatan cairan akan meningkat, dan karenanya tekanan menurun. Karena penurunan tekanan, perbedaan tekanan dibuat antara pipa aliran masuk dan bagian tenggorokan venturimet. Perbedaan tekanan ini dapat diukur dengan menggunakan manometer diferensial antara bagian aliran masuk dan bagian tenggorokan atau menggunakan dua pengukur pada bagian aliran masuk dan bagian tenggorokan. Perbedaan tekanan melalui pipa dihitung setelah mendapatkan laju aliran.
Penggambaran dan Persamaan Laju Aliran Pada Venturimeter
Bayangkan venturimeter dipasang di pipa horizontal di mana fluida mengalir, seperti yang ditunjukkan pada gambar di bawah ini.
Adapun keterangan pada gambar di atas ialah sebagai berikut,
a1 = luas penyilang pipa saluran masuk
d1 = diameter pipa saluran masuk
v1 = kecepatan pada pipa masuk
p1 = tekanan pada pipa masuk
juga,
a2 = luas penyilang tenggorokan
d2 = diameter tenggorokan
v2 = kecepatan di tenggorokan
p2 = tekanan pada aliran masuk tenggorokan
d1, p1, v1, dan a1 adalah diameter aliran masuk, tekanan pada aliran masuk, kecepatan pada aliran masuk, dan luas penyilang 1.
Dan d2, p2, v2, dan a2 adalah nilai yang sesuai di bagian 2.
Persamaan Bernoulli digunakan di bagian 1 dan 2,
Karena digunakan pipa horizontal, maka Z1 = Z2
Oleh karena itu didapatkan,
Jadi (P1 – P2)/ρg adalah perbedaan tekanan puncak pada bagian 1 dan 2, dan sama dengan h. jadi perhitungan (1) menjadi,
Sekarang menerapkan prinsip kontinuitas pada bagian (1) dan (2), jadi diperoleh,
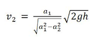
Menempatkan nilai v1 dalam persamaan (2) dan menyelesaikannya, kita mendapatkan,
Sekarang , Laju aliran cairan atau Discharge (pelepasan) (Q) dapat dinyatakan sebagai,Mengganti nilai v2 dalam persamaan ini, kita mendapatkan,
Q adalah teori pelepasan dalam kondisi ideal. Pelepasan sebenarnya akan kurang dari ini. Pelepasan sebenarnya diberikan oleh,
Dimana Cd adalah koefisien venturimeter dan nilainya selalu kurang dari 1.
Keuntungan Venturimeter
Keuntungan Venturimeter adalah sebagai berikut:
- Kehilangan daya cenderung sangat kecil
- Venturi meter dapat digunakan dimana ada bagian valve (keran) kecil tersedia
- Reproduksibilitas tinggi
- Akurasi lebih besar dalam rentang aliran yang lebar
- Venturi meter juga dapat digunakan untuk fluida yang terkompresi dan tidak cocok dengan flow meter lain.
- Kemudahan penggunaan
- Koefisien pelepasan (CD) lebih tinggi
- Banyak digunakan untuk volume aliran tinggi.
Kekurangan Venturimeter
Venturimeter, bagaimanapun memiliki beberapa kelemahan atau kekurangan, diantaranya adalah :
- Biaya pemasangan venturi meter tinggi
- Ada beberapa kesulitan selama perawatan
- Perangkat ini tidak dapat digunakan di mana pipa memiliki diameter kecil 76,2 mm. dan Non-linier
- Venturimeter menempati lebih banyak ruang daripada orifice meter
- Batas bilangan Reynolds paling bawah adalah 150.000.
- Memiliki harga yang tergolong mahal dan agak berat.
- Venturimeter Horizontal: Venturimeter jenis ini memiliki energi kinetik tertinggi dan energi potensial terendah.
- Venturimeter Vertikal: Jenis ini memiliki energi potensial tertinggi dan energi kinetik terendah.
- Venturimeter Miring: Energi potensial dan energi kinetik berada di tengah tengah antara dua jenis yang disebutkan di atas.
- Menghitung laju aliran cairan yang dikeluarkan melalui pipa
- Di sektor industri, digunakan untuk menentukan tekanan volume gas dan cairan di dalam pipa
- Aliran bahan kimia dalam pipa
- Banyak digunakan dalam proses pengolahan limbah, di mana pipa berdiameter lebih besar digunakan
- Bahkan digunakan di bidang medis untuk mengukur laju aliran darah di bagian arteri.
- Digunakan pada sektor industri dimana pemulihan tekanan tinggi diperlukan.










0 Response to "Venturimeter: Cara Kerja, Bagian Utama, Kelebihan dan Kekurangan"
Post a Comment
Berkomentarlah dengan sopan dan sesuai dengan konten blog, jangan meninggalkan link aktif karena akan kami anggap sebagai spam.